봉담 자이 프라이드시티가 분양을 시작하였습니다.
역시 자이.. ㄷㄷ 브랜드의 대한 자신감인지 분양가가 생각보다 비싸게 나왔네요.
봉담 자이 프라이드시티가 들어서는 화성 봉담 내리 지구 도시개발사업은 화성시 봉담 내리 지구 545번지 일원 약 26만 6540㎡를 개발하는 민간 도시개발사업으로 4034가구와 단독주택, 준주거시설 등의 주거시설과 초등학교 1개소, 공원 5개소, 주차장 2개소, 공공청사 1개소, 도로 등의 도시기반시설이 들어설 예정입니다.
같이 한번 알아봅시다.!

입주자 모집공고일
- 2021년 6월 7일 월요일(청약자격조건 판단 기준일)
공급위치
- 화성시 봉담 내리 지구 A1블럭

공급규모
- 지하 4층 지상 35층 11개 동, 총 4,034가구 중 1,701세대
[특별공급 847세대(일반[기관추천] 169세대, 다자녀가구 170세대, 신혼부부 339세대, 노부모부양 51세대, 생애최초 118세대 포함)] 및 부대복리시설
※ 전용면적별 가구수
- 59㎡ 466가구
- 72㎡ 467가구
- 84㎡ 562가구
- 105㎡ 2가구(펜트하우스)
입주예정일
- 2024년 07월 예정
규제사항
- 전매제한 : 소유권 이전등기일 까지 전매 금지
청약일정

청약 신청방법
[PC 청약시] 청약 홈페이지 접속 → 인증서를 통한 로그인 → 청약신청 → APT청약신청 → 청약자격 입력 → 청약완료
[스마트폰 청약시] 스마트폰앱(구글플레이스토어, 애플앱스토어에서 "청약홈"검색) 접속 → 인증서를 통한 로그인 → 청약신청 → APT청약신청 → 청약신청 등 입력 → 청약완료
청약가능시간 : 08:00~17:30
특별공급[일반(기관추천), 다자녀가구, 신혼부부, 노부모부양, 생애최초]
- 2021년 06월 17일 목요일



1순위(당해지역)
- 2021년 06월 18일 금요일
1순위(기타지역)
- 2021년 06월 21일 월요일
※ 1순위 자격요건
- 입주자 모집공고일 현재 화성시 또는 수도권 거주하는 세대주
- 청약통장 가입기간 24개월 이상인자
- 청약통장 예치금액이 신청 주택형의 지역별, 면적별 기준 금액을 충족한 자
- 신청자 포함 세대원 전원이 무주택 또는 1 주택(분양권)만 소유한자
- 신청자 포함 세대원 전원이 과거 5년 내 다른 주택에 당첨된 사실이 없는 자
2순위
- 2021년 06월 22일 화요일
당첨자발표
- 2021년 06월 28일 월요일
입주자 선정방법
- 전용 85㎡이하 (가점제 75%, 추첨제 25%)
- 전용 85㎡초과 (가점제 30%, 추첨제 70%)
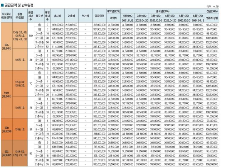
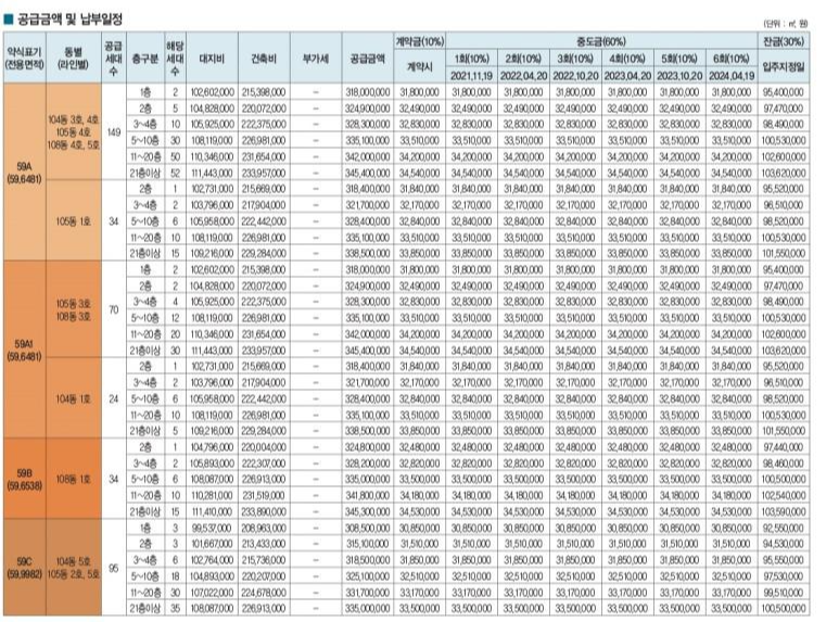
분양가
59㎡ : 3.08억 ~ 3.45억
72㎡ : 3.63억 ~ 4.06억
84㎡ : 4.25억 ~ 4.62억
105㎡ : 7.75억


입지환경
- 자이만의 자부심과 아름다음을 느낄 수 있는 품격 높은 입면 디자인 적용
- 하버드대 디자인대학원 니얼 커크우드 교수의 친환경 명품 조경 설계
- 단지를 감싸는 약 1.1km의 순환산책로와 왕벚나무 가로수길이 일어지는 힐링로드
- 아이들이 안심하고 놀 수 있도록 주차공간을 100% 지하로 배치, 스쿨버스 존 설치


교통
- 수도권 제2순환고속도로
- 서해안고속도로
- 과천 봉담 고속화도로
- 수인 분당성·KTX 어천 역(2025년 개통 예정)


교육
- 지구 내 국공립유치원 및 초등학교, 종로 M스쿨 등 예정
생활 라이프
- 인근에 위치한 봉담 1·2 지구의 다양한 생활·문화 인프라 공유
자연
- 단지와 인접한 삼봉산, 근린공원 등
커뮤니티
키즈 - 실내놀이터, 맘스테이션
교육 - 어린이집, 도서관, 독서실
건강 - 피트니스센터, 골프연습장, 수영장, 사우나, 다목적 체육관
편의 - 브런치카페, 카페리아, 게스트하우스

단지조경
Ridge Valley(리지 벨리)
- 자연스러운 캐스캐이드 형태의 수경시설

Calm Valley(캄 벨리)
- 수형이 우수한 느티나무 대형목과 함께 연출되는 반사경 수경시설

Fitness Garden(피트니스 가든)
- 건강함과 즐거움이 가득한 주민휴게공간

단지 및 배치도



분양하우스 위치
- 경기도 수원시 권선구 고색동 532-1

평면도
59㎡A(183세대)

59㎡A1(94세대)

59㎡B(34세대)

59㎡C(95세대)

59㎡C1(35세대)

59㎡D(25세대)

72㎡A(66세대)

72㎡B(134세대)

72㎡C(171세대)

72㎡C1(168세대)

72㎡C2(33세대)

72㎡D(99세대)

84㎡A(328세대)

84㎡B(202세대)

84㎡C(32세대)

105㎡(2세대)

'잡다구리 > 분양' 카테고리의 다른 글
| 동부센트레빌 - 역촌 1구역 재건축사업 분양 예정(분양가, 전매제한) (0) | 2021.06.10 |
|---|---|
| 속초 영랑호 엘크루 라테라 분양 정보(분양가, 평면도, 분양일정) (0) | 2021.06.09 |
| 래미안 원베일리 분양 정보(분양가, 전매제한, 분양일정) (0) | 2021.06.07 |
| 북구청역 푸르지오 에듀포레 분양 정보(분양가, 분양일정, 평면도) (0) | 2021.06.04 |
| 더샵 거제 디클리브 분양 정보 (0) | 2021.06.02 |
댓글