안녕하세요 청약을 소개해드리는 블로거 코코아빠입니다.
이제 곧 쌍용 더 플래티넘 오시리아 아파트 청약 접수날이네요.
오늘 이 시간 쌍용 더 플래티넘 오시리아 아파트의 분양가, 평면도, 전매제한, 모델하우스 위치 및 각종 규제사항에 대해 자세히 알아봅시다.

◈ 공급내역
공급위치 : 부산광역시 기장군 기장읍 연화리 294번지 일원
공급규모 : 아파트 지하 3층, 지상 15층 3개동 총 191세대 중 일반공급 105세대
[특별공급 86세대(일반[기관추천] 16세대, 다자녀가구 16세대, 신혼부부 36세대, 노부모부양 2세대, 생애최초 16세대 포함)] 및 부대복리시설
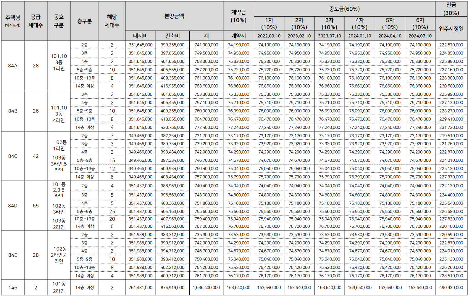
공급타입 : 84A / 84B / 84C / 84D / 84E / 146
입주예정일 : 2024년 12월 예정

◈ 분양가(공급금액 및 납부일정)

◈ 청약일정

특별공급(기관추천, 다자녀, 신혼부부, 노부모부양, 생애최초) : 2022년 01월 10일 월요일
일반공급 1순위 : 2022년 01월 11일 화요일
일반공급 2순위 : 2022년 01월 12일 수요일
당첨자발표 : 2022년 01월 18일 화요일
계약체결 : 2022년 02월 07일 월요일 ~ 02월 09일 수요일
◈ 규제사항
비투기과열지구 및 비청약과열지역
분양가 상한제 미적용 민영주택
재당첨제한 : 없음
전매제한 : 소유권이전등기일(3년 초과시 3년)까지
◈ 일반공급 신청자격
입주자모집공고일(2021년 12월 31일 금요일) 현재 부산광역시에 거주하거나 울산광역시 및 경상남도 지역에 거주하는 만 19세 이상인 자 또는 세대주인 미성년자(자녀양육, 형제자매부양) 중 입주자저축 순위별 자격요건을 갖춘 자(국내에서 거주하는 재외동포 재외국민 외국국적 동포 및 외국인 포함)를 대상으로 주택형별 청약순위 별로 청약 접수가 가능합니다.
순위별 자격 요건
전용면적 85㎡이하 주택 : 가점제 40%, 추첨제 60% 적용
전용면적 85㎡초과 주택 : 추첨제 100% 적용
청약 예치기준금액

◈ 입지환경

교통 환경
- 기장해안로, 해운대IC, 동부산IC, 동해선 오시리아역 등
생활 인프라
- 롯데아울렛, 롯데마트, 이케아 동부산점 등
미래 비전
- 오시리아 관광단지 개발, 가시화 및 메디타운, 롯데월드 등
◈ 쌍용 더 플래티넘 오시리아 아파트 모델하우스 위치
- 부산광역시 해운대구 우동 1522

◈ 쌍용 더 플래티넘 오시리아 아파트 단지 및 동·호수 배치도


◈ 쌍용 더 플래티넘 오시리아 아파트 입주자 모집 공고문
◈ 쌍용 더 플래티넘 오시리아 아파트 평면도






'잡다구리 > 분양' 카테고리의 다른 글
| 오산 세교2지구 A1블록 호반써밋 그랜빌 2차 아파트 분양가, 평면도, 모델하우스 위치 (1) | 2022.01.17 |
|---|---|
| 의정부역센트럴자이앤위브캐슬(계약취소주택) 청약 정보(분양가, 평면도, 모델하우스 위치) (0) | 2022.01.15 |
| 포항 펜타시티 동화아이위시 아파트 분양가, 평면도, 전매제한, 모델하우스 위치 (0) | 2022.01.09 |
| 신천역 한라비발디 아파트 분양가, 평면도, 전매제한, 모델하우스 위치 (0) | 2022.01.08 |
| 더샵 송도아크베이(B3BL) 아파트 분양가, 평면도, 전매제한, 모델하우스 위치 (1) | 2022.01.04 |
댓글