태봉공원 푸르지오 파크몬트 아파트의 청약 접수가 시작되었습니다.
파크몬트는 비규제지역으로 거주의무도 없고 준공전 전매가 가능합니다.
청약에 필요한 필수 정보들 적어놓을테니 관심 있는 분들음 참고하셔서 신청하세요~

모집공고
입주자 모집 공고일 : 2021년 09월 02일 목요일(청약자격 조건 판단 기준일)
공급위치 : 경기도 포천시 소흘읍 송우리 225-1외 16필지
공급규모 : 아파트 지하 2층, 지상 20층 8개 동 총 623세대
[특별공급 274세대 (일반[기관추천] 52세대, 다자녀가구 60세대, 신혼부부 107세대, 노부모부양 18세대, 생애최초 3세대 포함)] 및 부대복리시설
분양타입 : 84A / 84B / 84C / 99 / 109
입주예정시기 : 2024년 12월 예정

청약일정
청약접수방법
[PC 청약시] 청약 홈페이지 접속 → 인증서를 통한 로그인 → 청약신청 → APT청약신청 → 청약자격입력 → 청약완료
[스마트폰 청약시] 스마트폰앱(구글플레이스토어, 애플 앱스토어에서 "청약홈" 검색) 접속 → 인증서를 통한 로그인 → 청약신청 → APT청약신청 → 청약자격 등 입력 → 청약완료

특별공급 : 2021년 09월 13일 월요일
일반 1순위 : 2021년 09월 14일 화요일
일반 2순위 : 2021년 09월 15일 수요일
당첨자발표 : 2021년 09월 24일 금요일
계약체결 : 2021년 10월 06일 수요일 ~ 10월 10일 일요일
태봉공원 푸르지오 파크몬트 입지환경

교통 환경
- 서울 강남까지 바로 연결되는 지하철 7호선 연장 소흘역(예정)
- 세종 ~ 포천고속도로, 제2외곽순환도로(예정) 등
교육 환경
- 단지 내 어린이집(예정)
- 단지 앞 태봉초, 송우중, 송우고 등
자연 환경
- 민간공원 특례사업으로 완성되는 약 10만 2천㎡ 규모의 태봉공원 속 단지
- 천보산, 소흘생활체육공원, 고모호수공원 등 단지 인근 자연 인프라
생활 인프라
- 홈플러스, 하나로마트, CGV 등 다양하 문화·쇼핑 시설
- 단지 앞 수영장, 도서관 등 다양한 시설을 갖춘 복합커뮤니티센터(예정)
규제사항
비투기과열지구 및 비청약과열지역, 분양가상한제 미적용
재당첨제한 : 無
전매제한 : 소유권이전등기일(3년을 초과하는 경우 3년)
※입주예정일이 2024년 12월 이기에 준공전 전매 가능 예상
거주의무 : 없음
입주자 선정 방법
전용면적 85㎡ 이하 : 가점제 40%, 추첨제 60% 적용
전용면적 85㎡ 초과 : 추첨제 100% 적용
입주자 모집 공고문
태봉공원 푸르지오 파크몬트 단지 배치도

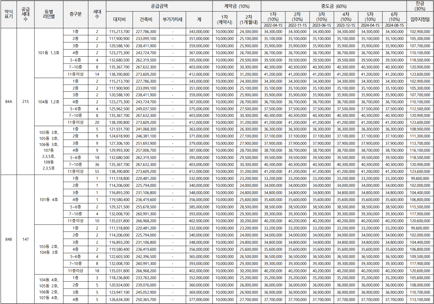
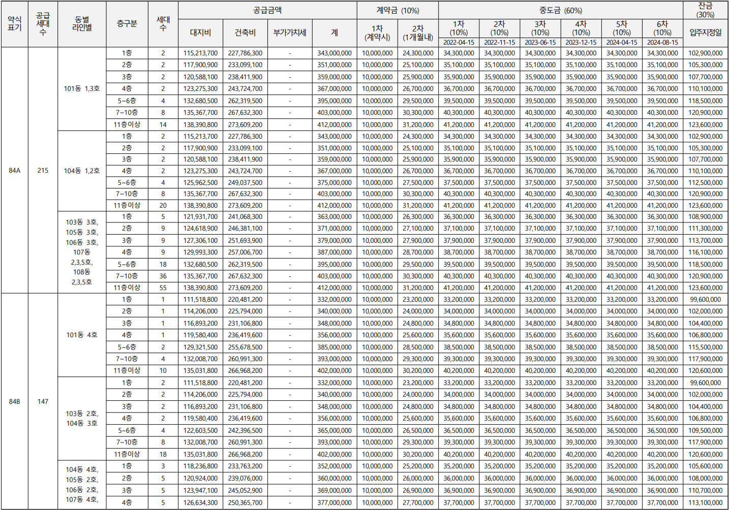
태봉공원 푸르지오 파크몬트 분양가
84㎡A(215세대) 3억 4300만 원 ~ 4억 1200만 원
84㎡B(147세대) 3억 3200만 원 ~ 4억 200만 원
84㎡C(178세대) 3억 3600만 원 ~ 4억 500만 원
99㎡(63세대) 3억 9200만 원 ~ 4억 7200만 원
109㎡(20세대) 4억 2000만 원 ~ 4억 9800만 원


태봉공원 푸르지오 파크몬트 평면도
84㎡A(215세대)


84㎡B(147세대)


84㎡C(178세대)


99㎡(63세대)


109㎡(20세대)


'잡다구리 > 분양' 카테고리의 다른 글
| 힐스테이트 광교중앙역 퍼스트 분양정보(분양가, 평면도, 입주자 선정방법) (0) | 2021.09.13 |
|---|---|
| 영종하늘도시 한신더휴2차(공공분양) 아파트 분양정보(평면도, 분양가, 전매제한, 모델하우스 위치) (1) | 2021.09.12 |
| 우장산 한울에이치밸리움 아파트 분양 정보(분양가, 평면도, 전매제한) (1) | 2021.09.06 |
| 에비뉴 청계2 무순위(줍줍) 청약 정보(분양가, 평면도, 입지환경) (1) | 2021.09.06 |
| 더샵 천안레이크마크 아파트 분양 정보(분양가. 평면도, 전매제한) (0) | 2021.09.06 |
댓글