본문 바로가기
잡다구리/분양

송도 아리스타 프라임 분양 정보(분양가, 평면도, 전매제한)

by 코코아빠 2021. 5. 28.
반응형

송도아리스타 프라임

송도 아리스타 프리미엄 분양을 시작합니다.

생각보다 세대수가 많지 않은 43세대...

더군다나 송도에서 찾아보기 힘든 소형 평수라 인기가 좋을 것 같네요.

송도 아리스타 프라임 분양정보

입주자 모집 공고일

- 2021년 05월 24일 월요일 (청약자격조건 판단 기준일)

공급위치

- 인천광역시 연수구 송도동 22-6, 7번지

모델하우스 위치

- 인천광역시 연수구 송도동 21-54

공급규모

- 아파트 지하 2층, 지상 3층~10층 1개 동 총 90세대 중 일반공급 43세대

※ 1층과 2층은 근린생활 상가 36개 점포가 들어설 예정

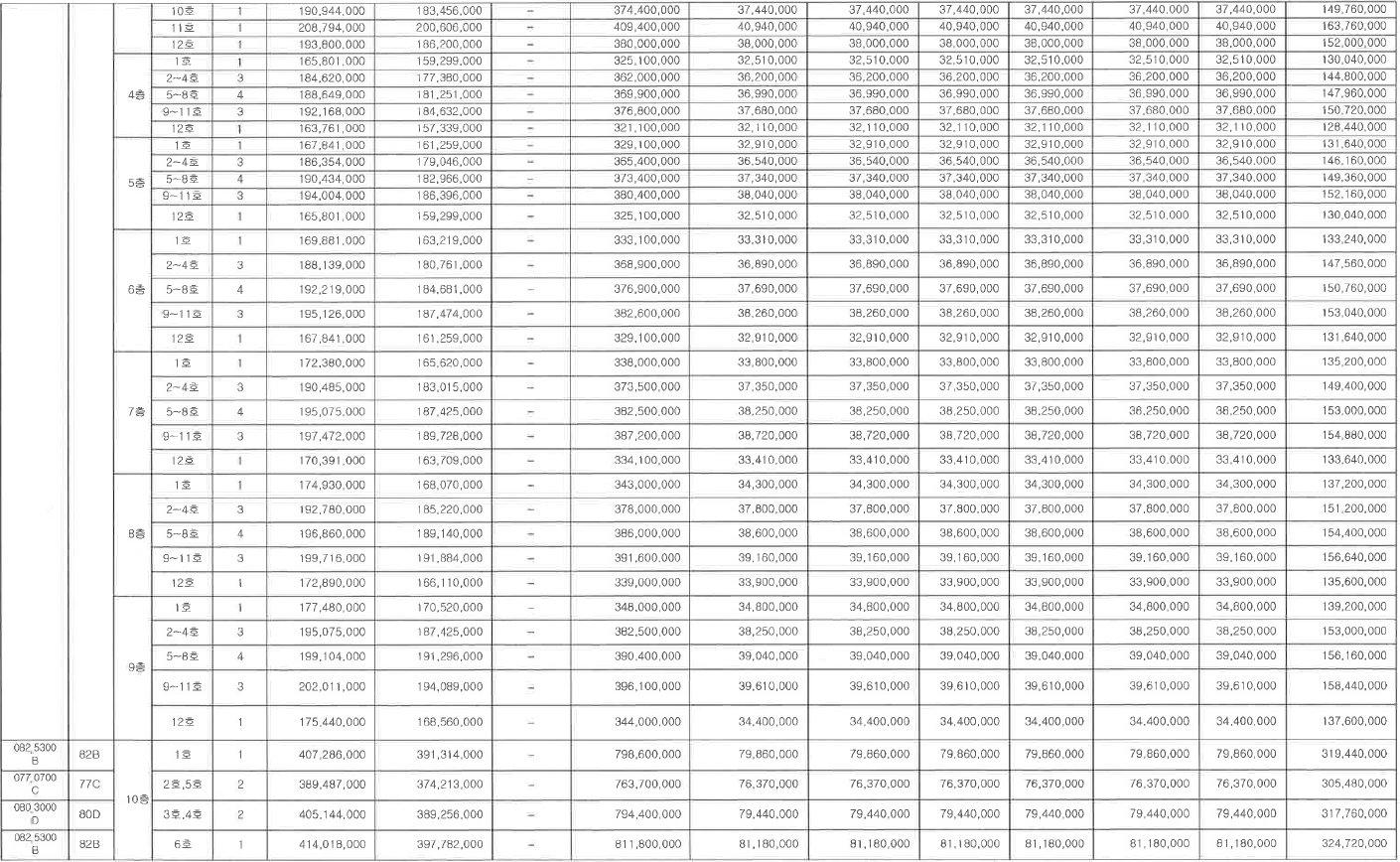
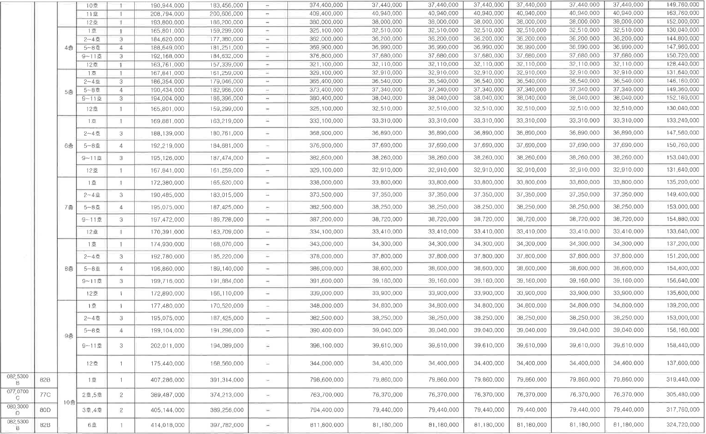
송도 아리스타 프라임 공급규모
송도 아리스타 프라임 분양가

입지정보

송도 아리스타 프라임 입지정보

초대형 공원

- 사업지 인근 산책로, 레저시설, 박물관 등 MICE 산업이 발달된 센트럴파크, 미주 홀 공원 등 대형공원이 인접

 

인근 대형마트

- 롯데마트, 코스트코, 현대 아울렛, 트리플 스트리트 등 사업지 인근 대형마트가 있어 편리한 쇼핑 문화 가능

 

교통 인프라

- GTX-B 개발로 서울까지 30분 이내 도착이 가능하며, 송도 내 순환 트램 개발로 송도 내 교통 순환이 편리

분양가

분양가 - 최고가 기준

- 41A타입(84세대)  : 4.19억

- 77C타입(2세대) : 7.63억

- 80D타입(2세대) : 7.94억

- 82B타입(2세대) : 8.11억

송도 아리스타 프라임 분양가

청약접수

특별공급(기관추천, 경제 자유구역, 다자녀, 신혼부부, 노부모 부양, 생애최초)

- 2021년 6월 3일 목요일

 

일반 1순위

- 2021년 6월 4일 금요일

 

일반 2순위

- 2021년 6월 7일 월요일

 

당첨자 발표

- 2021년 6월 11일 금요일

 

당첨자 서류접수

- 2021년 6월 12일 토요일 ~ 2021년 6월 14일 월요일

 

계약 체결

- 2021년 6월 23일 수요일 ~ 6월 25일 금요일

 

신청방법

- 인터넷 청약 (08:00 ~ 17:30)

아파트 청약 홈 바로가기

 

입주예정

- 2022년 12월 예정

※ 실입주일이 입주예정일보다 앞당겨질 경우 미도래 잔금은 실입주일 이전에 납부 후 입주하여야 하며, 이 경우 선납할인은 적용되지 않음

규제사항

투기과열지역 및 청약과열지역

전매제한 : 소유권등기일까지(특공은 5년)

재당첨제한 : 10년

거주의무 : 없음

중도금대출 : 분양가 40% 가능, 이자 후불제

추첨제 : 모든 세대가 전용85㎡ 이하로 100% 가점제

송도 국제도시 개발 호재

2010년 포스코 사옥

- 2010년 준공 완료되어 송도의 랜드마크로 자리 잡게 되었다. 약 1,300여 명의 인력과 송도의 가치를 상승시키는 요인이 되었다.

 

2014년 동북아 무역타워(NEATT)

- 국제업무단지 내에 위치한 동북아 무역타워는 71층 규모로 업무시설과 호텔을 겸비한 송도의 또 하나의 랜드마크이다.

 

2018 송도컨벤시아

- 송도 국제도시의 대표적인 MICE 산업 시설 중 하나로 국제회의 및 전시, 각종 이벤트를 개최할 수 있는 컨벤션 센터이다.

 

2022(예정) 국립 세계 문자 박물관

- 송도 센트럴파크 내 국립 세계 문자 박물관과 오페라하우스가 2022년과 2025년 개관 예정으로 문화, 예술의 도시로 한 발자국 다가갈 것으로 예상된다.

 

2023(예정) 셀트리온 제3공장

- 셀트리온 제1 공장, 2 공장과 더불어 2023년 5월에 준공 예정인 제3 공장까지 의약품 연구개발(R&D) 인력 2,000명, 생산인력 8,000명을 직접 고용할 계획이다.

 

2026년(예정) 송도 세브란스 병원

- 2026년 개원 예정으로 추후 병상 1,000개 규모를 계획하고 있다.

 

2027년(예정) GTX-B

- 송도 최고의 교통개발호재로 2027년 개통 예정이며, 송도에서 서울역까지 30분 내로 도착 가능한 수도권 광역급행철도이다.

 

2028년(예정) 송도 워터프런트

- 송도 국제도시 호수와 수로를 'ㅁ'자 형태로 연결하는 사업으로 해양&수변 레포츠, 해양관광거점, 그리고 송도 호수의 수질 개선 등으로 송도 내 최고의 해양관광체험시설로 계획

 

송도 골든하버

- 호텔과 쇼핑몰, 컨벤션, 콘도, 럭셔리 리조트 등 국내 최고의 해양문화관광지로 예정된다.

 

평면도

송도 아리스타 프라임 평면도

728x90
반응형

댓글