안녕하세요 코코아빠입니다.
오늘 소개해드릴 아파트는 동탄레이크파크 자연앤e편한세상 아파트입니다.
현재 주변에 비해 상당히 저렴한 가격으로 로또 아파트로 불리고 있는 아파트입니다.
오늘 동탄레이크파크 자연앤e편한세상 아파트의 분양가, 평면도, 전매제한, 입지환경 등 자세히 한번 알아봅시다.

사업개요
공급위치 : 경기도 화성시 장지동 970(화성동탄2 택지개발사업지구 A94BL)
공급규모 : 아파트 지하 3층 ~ 지상 최고 25층, 18개 동 총 1,227세대 중 전용면적 85㎡이하 국민주택 907세대
[특별공급 632세대(다자녀가구 특별공급 90세대, 신혼부부 특별공급 181세대, 생애최초 특별공급 181세대, 노부모부양 특별공급 45세대, 국가유공자 특별공급 45세대, 일반(기관추천) 특별공급 90세대 포함)] 및 부대복리시설
입주시기 : 2024년 06월 예정

청약일정

특별공급 : 2023년 10월 23일 월요일
일반 1순위 : 2023년 10월 24일 화요일
일반 2순위 : 2023년 10월 25일 수요일
당첨자발표 : 2023년 11월 01일 수요일
계약체결 : 2023년 12월 14일 목요일 ~ 12월 20일 수요일
규제사항
비투기과열지구 및 비청약과열지역
분양가상한제 적용
재당첨제한 10년
전매제한 3년
거주의무 5년


입지환경


- 남사 국가 산업단지 LH 사업시행자 선정으로 더욱 빨라질 '반도체 메가 클러스터'
- 삼성전자, ASML(예정) 등 글로벌 반도체 메카로 자리 잡을 동탄 신도시의 비전
- 트램역 2개 노선(2024년 착공계획)으로 더욱 편리해질 대중교통망
- GTX-A노선(수서~동탄) 2024년 상반기 개통 예정으로 서울 및 수도권 접근성 개선
- 가격 경쟁력을 갖춘 분양가 상한제 단지로 동탄호수공원 생활권을 누리는 최적의 기회
- 주거 선호도 높은 동탄호수공원 생활권 1,227세대 브랜드 대단지
- 반경 약 350m 내 이솔초, 서연중, 서연고 및 학원가 인접으로 도보 이동 가능한 안심 교육 단지
- 라크몽, 레이크꼬모, CGV, 다양한 상업시설 등 풍부하고 편리한 생활인프라
- 동탄역(SRT), 동탄대로 및 용구대로를 통한 편리한 광역 교통망
개발계획


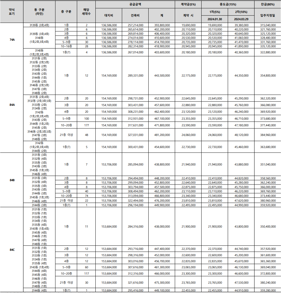
동탄레이크파크 자연앤e편한세상 아파트 분양가

동탄레이크파크 자연앤e편한세상 아파트 평면도




'잡다구리 > 분양' 카테고리의 다른 글
| e편한세상 평택 라씨엘로 아파트 분양가, 평면도, 전매제한, 입주자모집공고문 (0) | 2022.08.07 |
|---|---|
| 서면4차 봄여름가을겨울 아파트 분양가, 평면도, 전매제한, 입주자모집공고문 (0) | 2022.08.06 |
| 힐스테이트 서대구역 센트럴 아파트 분양가, 평면도, 전매제한, 입주자모집공고문 (0) | 2022.07.30 |
| 인천 두산위브 더센트럴 아파트 분양가, 평면도, 전매제한, 입주자 모집 공고문 (0) | 2022.07.25 |
| 힐스테이트 과천 디센트로 1차 오피스텔 청약 정보(분양가, 평면도, 전매제한) (0) | 2022.07.19 |
댓글